|
微信
大理云培教育教育
微信号:ydpx2181133
关注
0872-2181133
ydpx2181133
首 页
公务员
公务员考试
培训相关
|
考试信息
|
考试指导
招考信息
查看全部信息》
公务员频道
www.ydgz.cn
事业单位
事业单位考试
培训相关
|
考试信息
|
考试指导
招考信息
查看全部信息》
事业单位频道
www.ydgz.cn
特岗教师
特岗教师考试
培训相关
|
考试信息
|
报考指导
招考信息
查看全部信息》
特岗教师频道
www.ydgz.cn
培训动态
培训动态考试
查看全部信息》
培训动态频道
www.ydgz.cn
关于我们
关于我们考试
机构简介
|
教学环境
我们的优势
|
师资力量
|
留言
|
查看全部信息》
关于我们频道
www.ydgz.cn
联系方式
联系方式考试
查看全部信息》
联系方式频道
www.ydgz.cn
公务员通栏
您当前位置:
大理云培教育网
>
事业单位
-
考试信息
- 考试指导
考试指导
招考信息
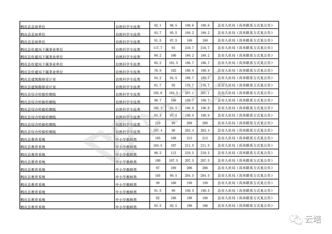
2017年大理州事业单位各岗位进入面试分数线
大理云培教育微信
报班
咨询
反馈